Любимое «лакомство» гормонов
Таким «лакомством» является холестерин – материнская субстанция для всех половых гормонов. Холестерин – липопротеин (жировая субстанция) низкой плотности, жирорастворимое вещество, присутствующее во всех тканях животного организма. Функции холестерина весьма разнообразны. Он входит в состав клеточных мембран (оболочек). Является частью растворимых липопротеиновых комплексов, которые циркулируют в крови и других физиологических жидкостях организма. Вместе с другими веществами его выделяют сальные железы. В печени холестерин используется как предшественник желчных кислот, а в половых железах и надпочечниках из него образуются стероидные (половые) гормоны. Кроме того, он необходим для синтеза витамина Д, играющего ключевую роль в развитии костной ткани.
Бытующее мнение, что холестерин вреден – это незнание, которое ведет к нарушениям функций организма. Холестерин опасен, если его много. Если его количество в норме, то он выполняет те функции, которые возложила на него природа.
Холестерин попадает к нам с пищей. Это жирные продукты: орехи, масло, сыр, сало, мясо и т. д. Кроме того, он синтезируется самим организмом.
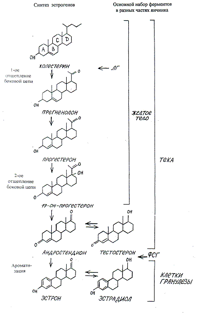
В яичниках холестерин может образовываться из двууглеродных предшественников. Другим его источником служат липопротеиды (жиры) крови низкой плотности. В обоих случаях он является субстратом образования половых гормонов. Очень хороший напрашивается вывод: чтобы получить женский половой гормон, гормон красоты и привлекательности – эстрадиол, надо съесть кусочек масла или сала.

Рис. 8. Основной путь образования половых гормонов в яичниках
Отказ от продуктов, содержащих холестерин, в детородном возрасте необоснован и может привести к серьезным осложнениям не только в репродуктивной системе (может страдать образование яйцеклеток, нарушиться менструальный цикл), но и в сердечно-сосудистой, легочной, нервной, выделительной, костно-суставной, эндокринной системах.
Более 800 000 книг и аудиокниг! 📚
Получи 2 месяца Литрес Подписки в подарок и наслаждайся неограниченным чтением
ПОЛУЧИТЬ ПОДАРОК